回答(1)
Lucia2022-08-04 13:09:44
同学,你好,
第一题:同学你好,VAR的取值,在数据离散的情况下,并没有统一的结论,教材中也没有给出一个明确的选择
老师去参加考试的时候,也遇到了一个算VAR值的题目,一个答案解析是36,另一个答案解析是35,历年的考题中,这两种答案的都有
只是在这道题中,答案选择的是35
而ES,就是超出VAR的损失数据取平均,(40+39+38+37+36)/5,算出来好像和答案也不一样,这道题比较特殊,也没有解析,也不知道这个答案怎么来的,咱们放弃这道题吧……
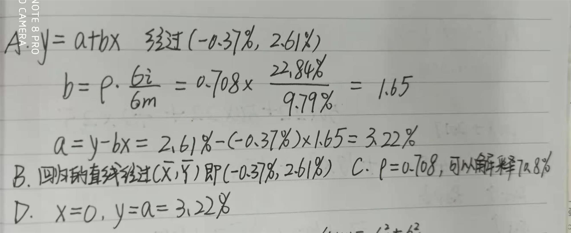
第二题如图
- 评论(0)
- 追问(0)
评论
0/1000
追答
0/1000
+上传图片



