回答(1)
Cindy2022-08-03 21:56:43
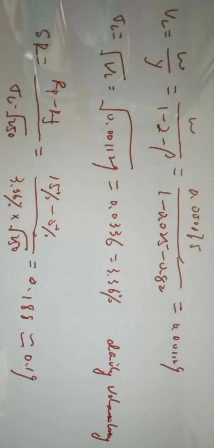
同学你好,计算过程如下,请看下图,D答案算不了,题目信息不够……
- 评论(0)
- 追问(2)
- 追问
-
为什么volatility是daily的呀 这个公式在哪里讲过吗
- 追答
-
请看下面这句题干信息,是题目说的呀,审题要细哦
评论
0/1000
追答
0/1000
+上传图片


