回答(1)
Lucia2022-08-01 17:49:21
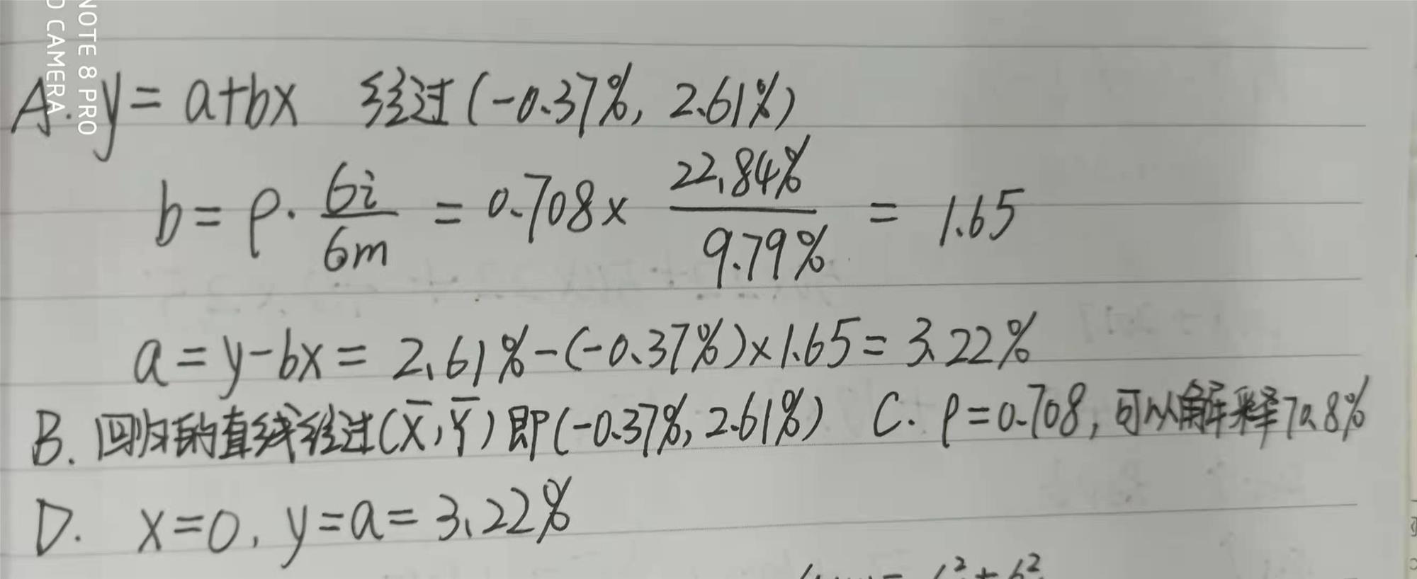
同学,你好,看下图
感谢正在备考中乘风破浪的您来提问~如果您对回复满意可【点赞】鼓励您更加优秀,您的声音是我们前进的动力,祝您生活与学习愉快!~
- 评论(0)
- 追问(2)
- 追问
-
线性回归,X是excess return of the fund,Y是excess return of the bench,对吗?
- 追答
-
不对,Y是excess return of the fund,X是excess return of the bench
评论
0/1000
追答
0/1000
+上传图片


