星同学2022-08-01 09:35:07
老师想请您讲下这道题
回答(1)
最佳
Adam2022-08-01 17:55:32
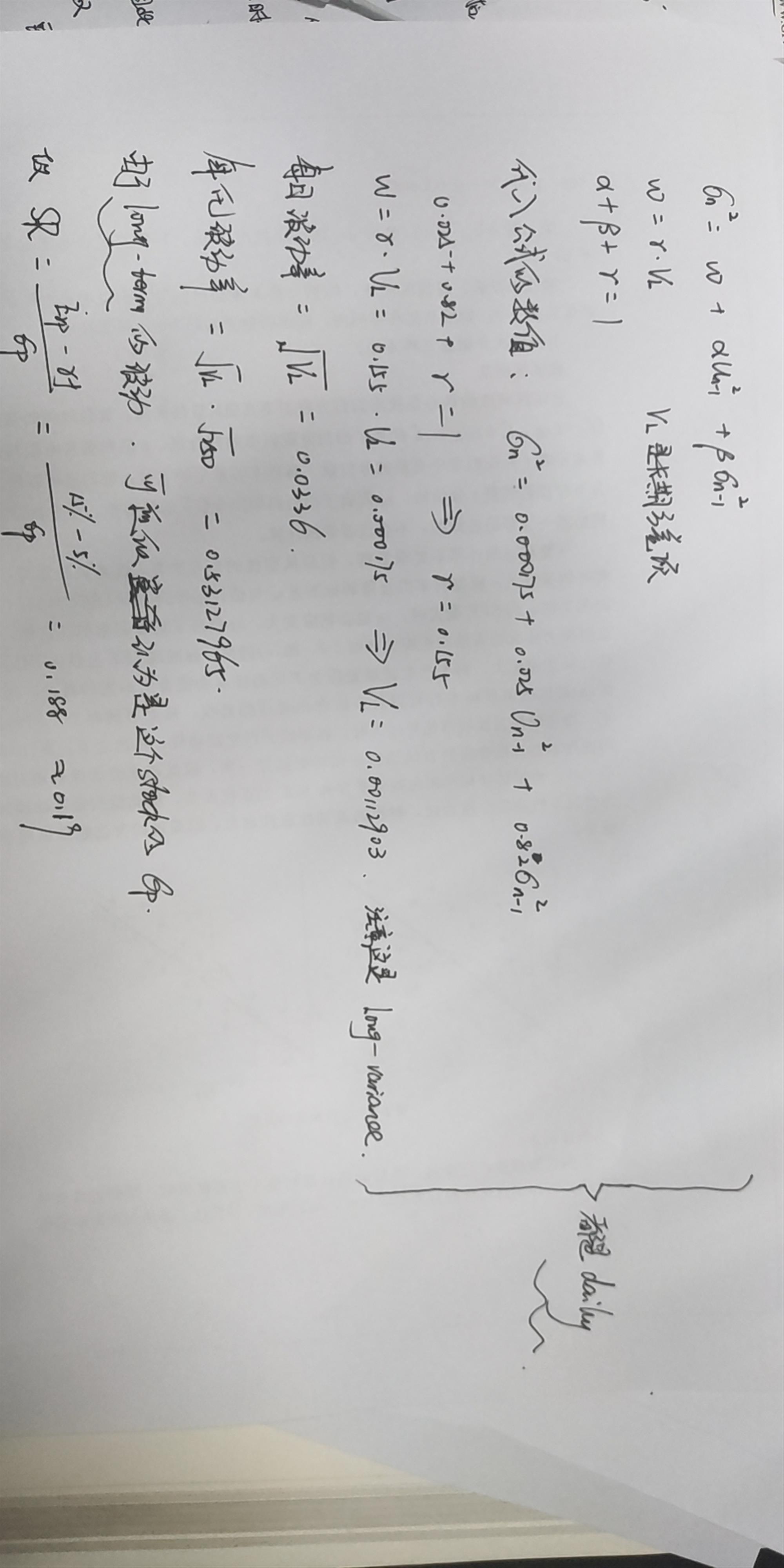
同学你好,如下图
- 评论(0)
- 追问(0)
评论
0/1000
追答
0/1000
+上传图片


