回答(1)
最佳
Adam2022-08-01 18:02:18
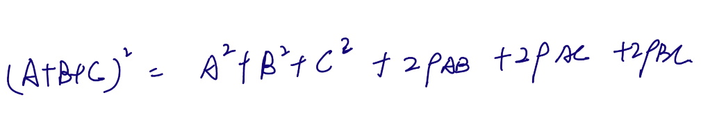
同学你好,都是2,
如下图
- 评论(0)
- 追问(0)
评论
0/1000
追答
0/1000
+上传图片

