回答(2)
mmo2022-07-31 17:02:15
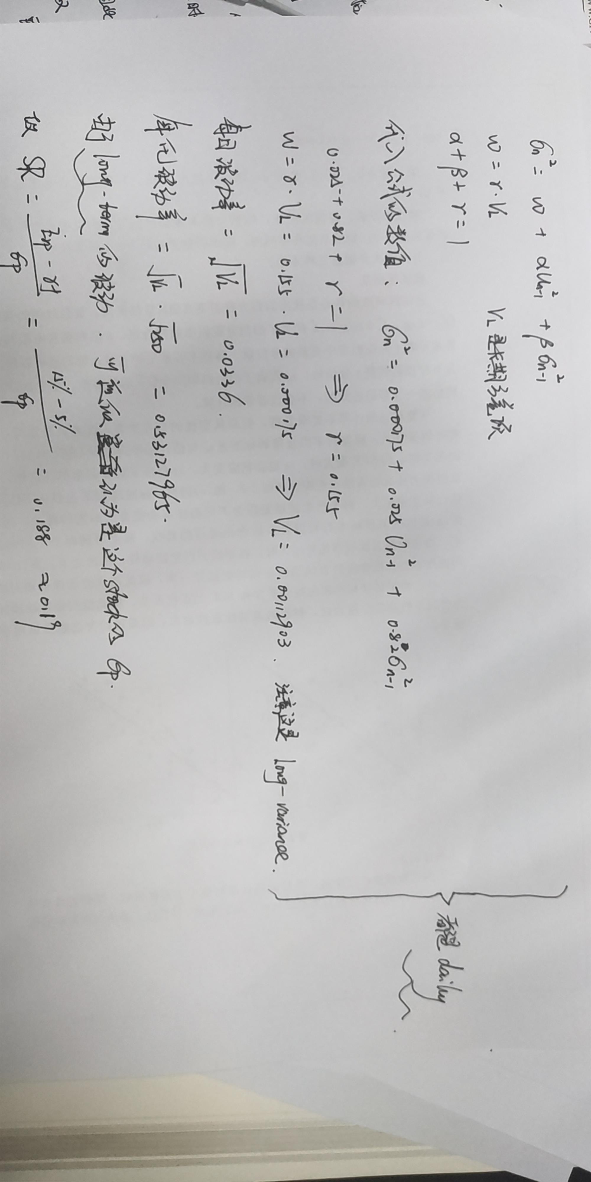
C选项错在variance,应该是volatility
- 评论(0)
- 追问(0)
Adam2022-08-02 14:02:12
同学你好,
赵同学说的没错哦,
如下图
- 评论(0)
- 追问(0)
评论
0/1000
追答
0/1000
+上传图片


