158****75902022-07-29 13:29:30
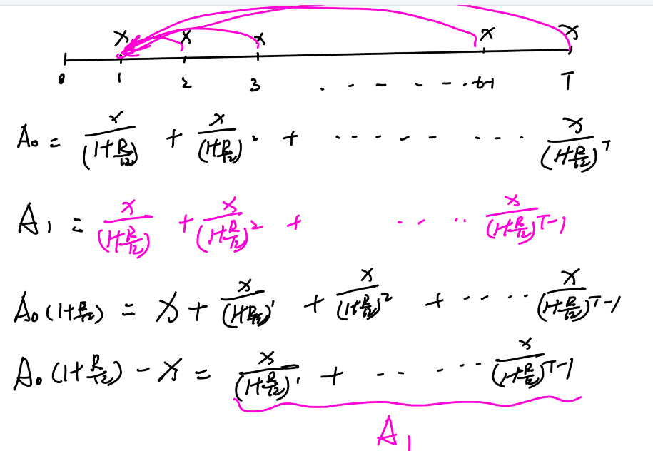
A 1的余额我理解,应该只有一笔现金流折现,为什么按照这个公式算出来?A1是两笔现金流折现呢?
回答(1)
Adam2022-07-29 16:12:55
同学你好,没太明白你想问什么。
A0是T笔现金流折现到0时刻。
A1是T-1笔现金流折现到1时刻。
- 评论(0)
- 追问(0)
评论
0/1000
追答
0/1000
+上传图片


