向同学2022-07-29 10:50:40
老师好,请问这道题里面7500的数值是怎么算出来的啊?
回答(1)
最佳
Adam2022-07-29 15:56:23
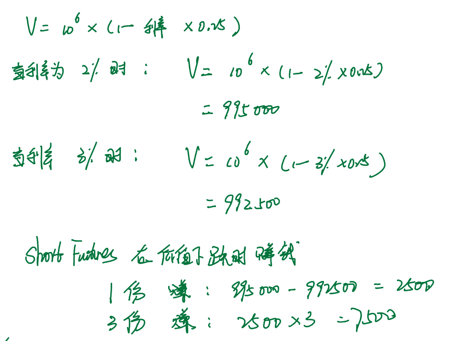
同学你好,如下图。
- 评论(0)
- 追问(0)
评论
0/1000
追答
0/1000
+上传图片



