陈同学2022-07-29 01:30:53
20题麻烦看一下我列出的式子有什么问题吗,算出来有出入
回答(1)
Adam2022-08-01 09:27:13
同学你好,
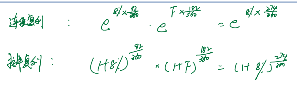
你这么做是:单利,然后复利,得到单利。
不对。
应该是复利计算。
这道题没有指定哪种复利方式,但无论哪种,都能得到一样的结论。
- 评论(0)
- 追问(0)
评论
0/1000
追答
0/1000
+上传图片


