137****29022022-07-27 21:09:39
老师卡方分布和F分布的应用麻烦说下
回答(1)
Lucia2022-07-28 11:33:03
同学,你好
卡方分布(Chi Square Distribution)主要用于统计推断,和对数正态分布类似,卡方分布主要描述的依然是那些大于0的随机变量。比如检验方差
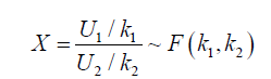
F分布在定义上沿用了t分布的思路,也就是使用其他随机变量的组合。不同的是,F分布使用了两个不同的卡方分布来进行定义,如果U1和U2是分别具有k1和k2自由度的两个独立的Chi-Squared分布,则F分布可以这样被定义如下图。使用的例子,检验两个方差的时候。
感谢正在备考中乘风破浪的您来提问~如果您对回复满意可【点赞】鼓励您更加优秀,您的声音是我们前进的动力,祝您生活与学习愉快!~给我点赞赞,答疑加快快~
- 评论(0)
- 追问(0)
评论
0/1000
追答
0/1000
+上传图片

