赵同学2022-07-27 19:01:30
这题我怎么算出来是10097?麻烦老师给个截图过程吧,谢谢
回答(1)
最佳
Adam2022-07-28 09:38:09
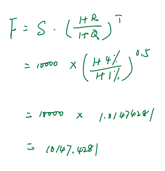
同学你好,如下图
- 评论(0)
- 追问(0)
评论
0/1000
追答
0/1000
+上传图片


