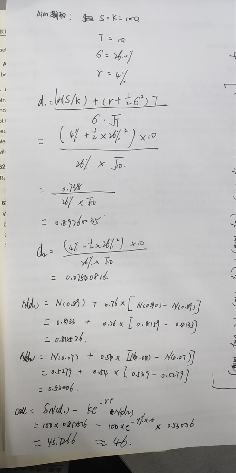
198****48282022-07-26 10:56:10
想问一下老师,这道题怎么算出call的价格啊🥺
回答(1)
最佳
Adam2022-07-26 13:44:30
同学你好,如下
- 评论(0)
- 追问(0)
评论
0/1000
追答
0/1000
+上传图片


