回答(2)
Lucia2022-07-27 11:43:14
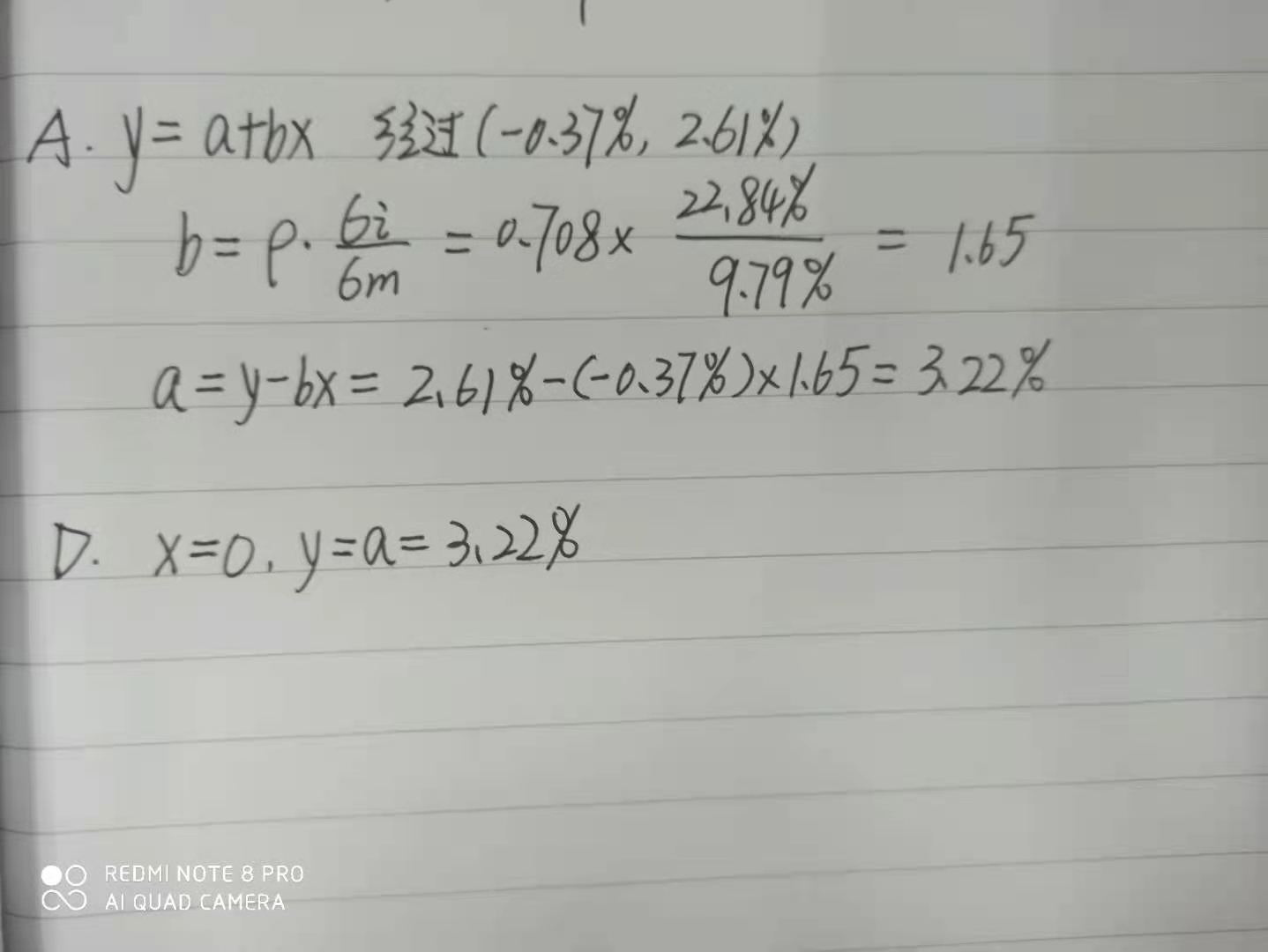
同学,你好,计算如下图
感谢正在备考中乘风破浪的您来提问~如果您对回复满意可【点赞】鼓励您更加优秀,您的声音是我们前进的动力,祝您生活与学习愉快!~给我点赞赞,答疑加快快~
- 评论(0)
- 追问(0)
Lucia2022-07-27 11:43:14
同学,你好,计算如下图
感谢正在备考中乘风破浪的您来提问~如果您对回复满意可【点赞】鼓励您更加优秀,您的声音是我们前进的动力,祝您生活与学习愉快!~给我点赞赞,答疑加快快~
- 评论(0)
- 追问(0)
评论
0/1000
追答
0/1000
+上传图片

