天堂之歌

听歌而来,送我踏青云〜

您现在的坐在位置:首页>智汇问答>FRM问答

panghu2022-07-23 07:48:25

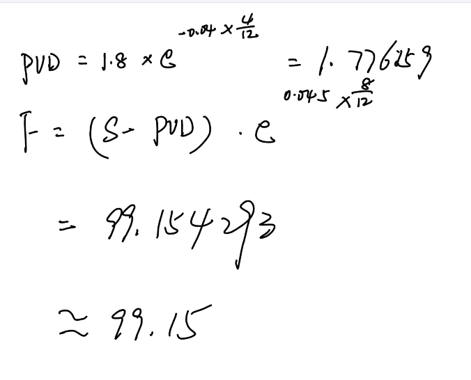
我用了同样的式子算但是酸楚99.11, 那应该怎么选呢

查看试题

回答(1)

Adam2022-07-23 10:10:29

同学你好,你这么做应该是小数点的问题。
建议多保留几位数,比如四位。

  • 评论(0
  • 追问(0
评论

精品推荐

评论

0/1000

追答

0/1000

+上传图片

    400-700-9596
    (每日9:00-21:00免长途费 )

    ©2026金程网校保留所有权利

    X

    注册金程网校

    验证码

    同意金程的《用户协议》
    直接登录:

    已有账号登录