柴同学2022-07-20 09:49:14
如果有红利call的delta是N(d1)*e^(-qt)请问有红利的put的delta是
回答(1)
最佳
Adam2022-07-20 13:53:06
同学你好,
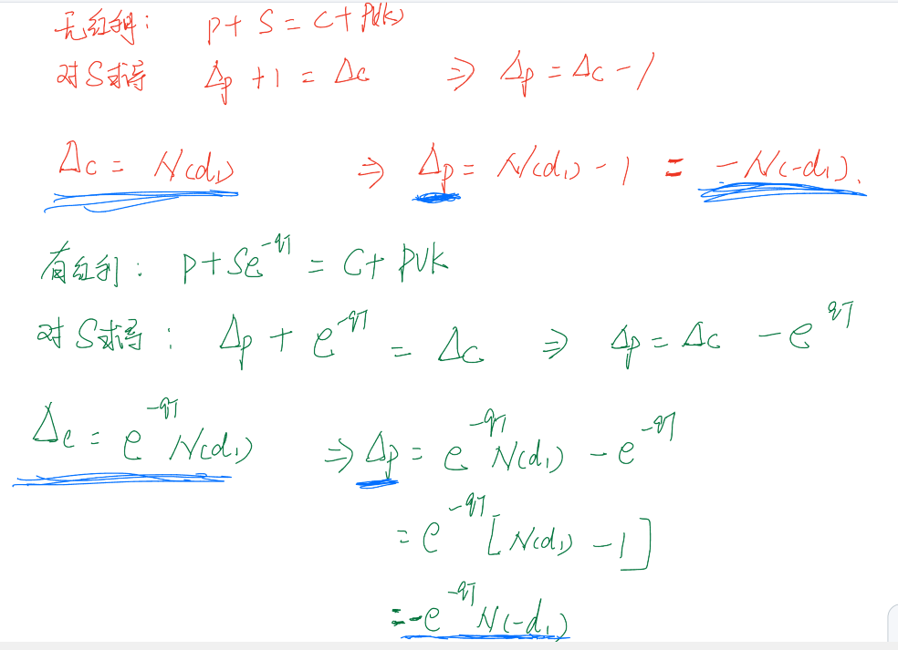
-N(-d1)*e^(-qt)
- 评论(0)
- 追问(2)
- 追问
-
可是PUT的delta不是call 的减一吗,是不是没有这个说法,因为我看图象是这样
- 追答
-
同学你好,是有这个说法呀。
如下图
评论
0/1000
追答
0/1000
+上传图片

