幸同学2022-07-20 00:10:35
视频最后一道题怎么计算器算出得数啊,计算器算不对
回答(1)
Cindy2022-07-20 20:13:55
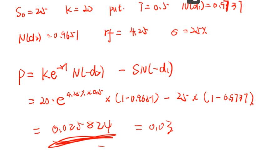
同学你好,请问你说的是这道题吗?
这里e的指数少了个负号,应该是ke负rt,老师笔误了,万分抱歉……
- 评论(0)
- 追问(0)
评论
0/1000
追答
0/1000
+上传图片

