panghu2022-07-18 02:22:17
请问可以总结一下, CAPM APT这两个模型有什么相同 不同, 分别都需要什么计算吗, 之前的解答说APT要计算因子之间两两的相关系数为什么C错呢
查看试题回答(1)
Adam2022-07-18 15:24:56
同学你好,
他们都是回归模型。
CAPM是资本资产定价模型,是威廉夏普在马科维茨有效理论的基础上建立的,沿用了非系统性风险可以被完全分散,在投资时只需要考虑系统性风险。为了便于研究威廉夏普提出了一个共同的风险因子β来衡量个别股票或投资组合相对于整个市场的价格波动情况。在确定了一些假设条件之后,确定风险因子,用这个风险因子β对个股或投资组合的预期收益做出合理的解释,E(Rp)=Rf+β[E(Rm)-Rf]。
公式中的β是风险指数,衡量的是单个资产或投资组合相对市场的波动性。β绝对值越大代表该组合或者资产相对市场的变化幅度越大。
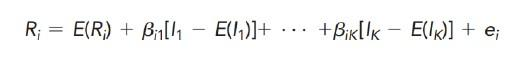
而APT模型是在无套利的基础上建立的,是CAPM模型的拓展,套利定价理论(APT)认为套利行为是有效市场形成的一个决定因素,如果市场没有达到均衡状态时,市场会存在套利机会,通过因素模型来解释资产收益,并根据无套利原则,得到风险资产均衡收益与多个风险因素之间存在着线性关系。套利定价模型反映了资产的均衡收益与市场上风险因子之间存在着线性关系,假设已经确定存在k个市场风险因子会影响资产收益率,可得E(Ri)=Rf+βi1Rp1+βi2Rp2+……+βikRpk,Rpk代表第k个风险因子的风险溢价。
C选项的factors correlation指的不是covariance而是因子之间的相关系数也就是ρ,比如有三个因子,ABC,这里的factor指的是ρAB,ρAC和ρBC,计算β并不需要因子之间的相关系数,而是因子与投资组合之间的相关系数。
- 评论(0)
- 追问(2)
- 追问
-
那所以 CAPM是要计算资产之间两两的相关系数, APT是要计算资产和风险因子之间的相关系数, 风险因子之间的相关系数吗
- 追答
-
不是,这题说的是APT公式本身的beta、CAPM里的beta也是一样的。
而你说的是:CAPM和APT 在应用在组合中的时候。
评论
0/1000
追答
0/1000
+上传图片


