131****15322022-07-15 06:24:20
第二题,为什么不可以用discount rate算即期利率然后再算远期利率呢?
回答(1)
Adam2022-07-15 10:19:24
同学你好,
discount rate????
你说的是折现因子吗?
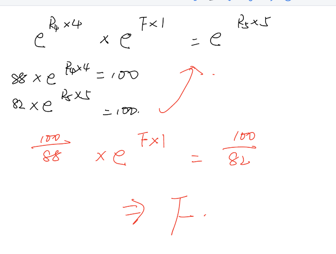
100*d(4)=88,所以d(4)=0.88,又因为这里假定的是连续复利,所以d(4)=1/[e^R*4]=0.88,求出R,然后去计算远期利率。
你数的哦是这个思路吗?
思路是可以,但过程太麻烦了。这里完全可以不计算出R,也可以去计算出远期利率。
- 评论(0)
- 追问(0)
评论
0/1000
追答
0/1000
+上传图片

