Xiaott2022-07-13 22:57:26
这道题的第二个描述请解释一下?怎么描述是对的?
回答(1)
Adam2022-07-14 10:05:14
同学你好,
第二个是说:10年期零息债券的凸性,大于,coupon是6%的久期为10年的债券的凸性。
这个说法不对。
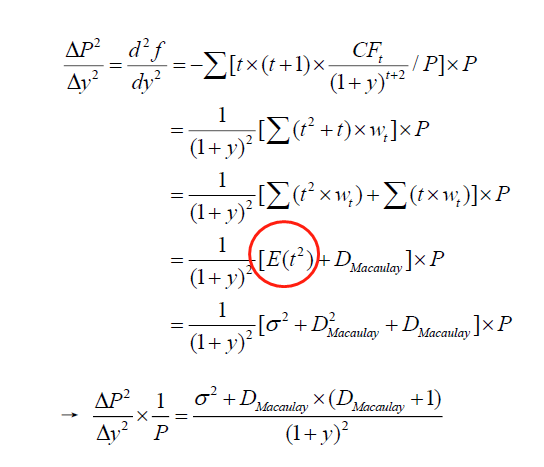
凸性和时间的平方成正比。
附息债券的久期小于期限,coupon是6%的久期为10年的债券,他的期限可能是13年.14年等等,所以他的凸性应该是更大一些的
- 评论(0)
- 追问(2)
- 追问
-
但是付息债券在期间有现金流,是否可以平衡多出来的几年时间?这个付息现金流影响啊,应该怎么考虑呢?
- 追答
-
同学你好,主要看“时间的平方”,这个是最主要的影响。
当然其他因素也会对凸性造成影响,只不过程度小而已。
评论
0/1000
追答
0/1000
+上传图片


