榴同学2022-07-13 20:53:41
期权的price和value指的是一样的吧 可是为什么这里price和value有两种不同的算法呢
回答(1)
Adam2022-07-14 09:49:28
同学你好,是一样的。
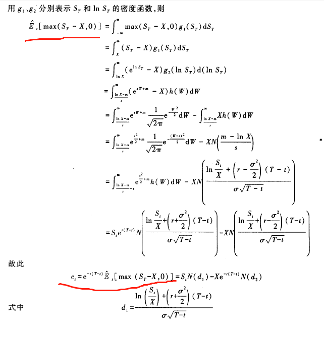
你这的这个value,还可以进行进一步的化简【这是BSM的推导,十分复杂,感兴趣的话可以进行了解】
- 评论(0)
- 追问(0)
评论
0/1000
追答
0/1000
+上传图片



