赵同学2022-07-12 23:55:45
第二步到第三步怎么推出来的,谢谢
回答(1)
最佳
Adam2022-07-13 09:29:25
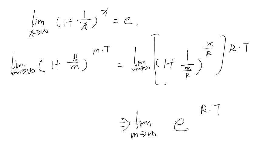
同学你好,如下图
- 评论(0)
- 追问(0)
评论
0/1000
追答
0/1000
+上传图片


