谭同学2022-07-12 14:38:03
题干是market’s volatility is 20%,也就是市场的方差是20%,sharp的分母不应该是组合的方差么(考虑到非系统性风险),为什么可以直接用market’s volatility?
查看试题回答(1)
最佳
Adam2022-07-12 16:51:37
同学你好,
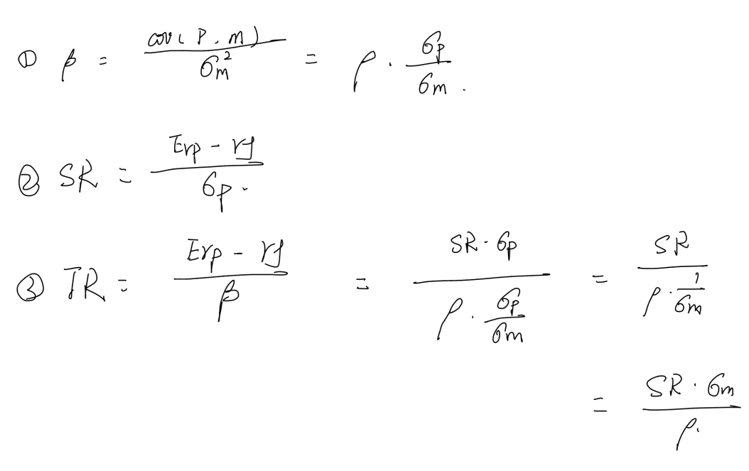
1:如下图,这里面是有等式替换在的。
2:volatility是标准差,sigma
- 评论(0)
- 追问(0)
评论
0/1000
追答
0/1000
+上传图片

