向同学2022-07-09 11:15:27
老师好,请问红笔的公式是怎么推的?
回答(1)
最佳
Lucia2022-07-11 16:21:29
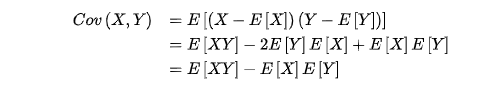
同学,你好,看下图
- 评论(0)
- 追问(0)
评论
0/1000
追答
0/1000
+上传图片


