回答(1)
Adam2022-07-07 16:52:06
同学你好,
A说的是:相关系数越低,组合的分散化效果越好。
B说的是:两个资产构建的组合,这个组合的风险,不会高于量子产的简单相加。
C说的是:两资产构建的组合,在没有卖空的情况下,组合的风险不会低于风险较低的单个资产
D说的是:两资产构建的组合,总能找到组合风险最低时的简单表达。
AB:根据投资组合标准差的计算公式,相关性越低,整个组合的标准差越小,因此风险越小。组合的风险的最大值,其实就是A和B的风险相加,也就是组合的风险不会超过这个值,而最小值等于AB两个风险相减的绝对值。B选项就是上面提到过的,一个两资产构成的投资组合的风险不可能比这两个资产的总风险加总还要高。
如图1
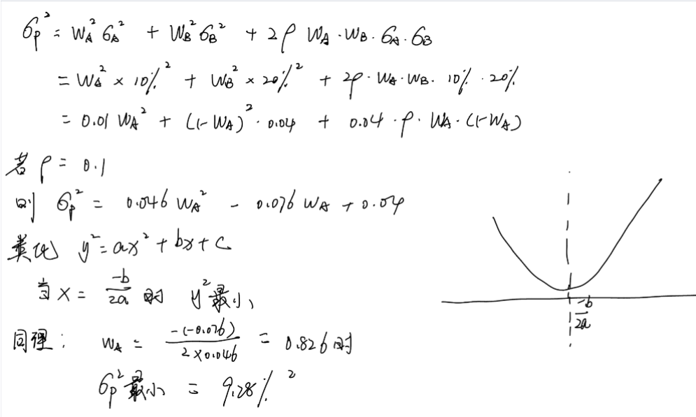
C选项只需要举反例就可以。解析中的例子如图2
D选项,看图二中的“-b/2a”
- 评论(0)
- 追问(0)
评论
0/1000
追答
0/1000
+上传图片


