回答(1)
Adam2022-07-07 13:08:52
同学你好,
是的,这里给到的都是“零息债券”,零息债券的收益率就是对应期限的spot rate,可以去计算折现因子
- 评论(0)
- 追问(2)
- 追问
-
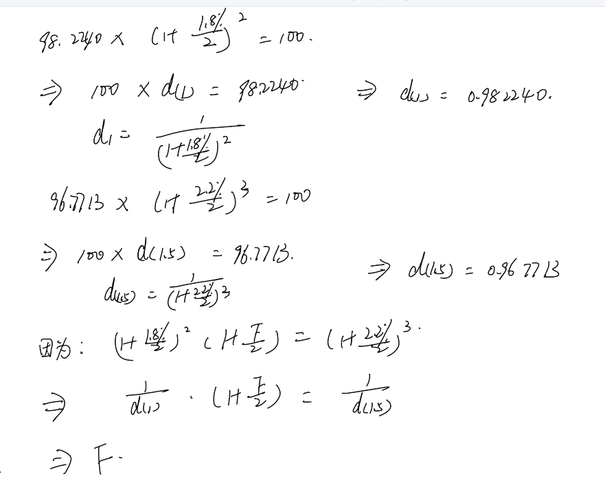
老师可以列一下用折算因子算的过程吗
- 追答
-
同学你好,如下图
评论
0/1000
追答
0/1000
+上传图片

