137****29022022-07-06 09:29:00
老师.请问这题怎么理解
回答(1)
Adam2022-07-07 16:35:05
同学你好,
根据投资组合标准差的计算公式,相关性越低,整个组合的标准差越小,因此风险越小。组合的风险的最大值,其实就是A和B的风险相加,也就是组合的风险不会超过这个值,而最小值等于AB两个风险相减的绝对值。B选项就是上面提到过的,一个两资产构成的投资组合的风险不可能比这两个资产的总风险加总还要高。
如下图
至于C选项说的是:组合的风险会不可能小于风险最小的单个资产。
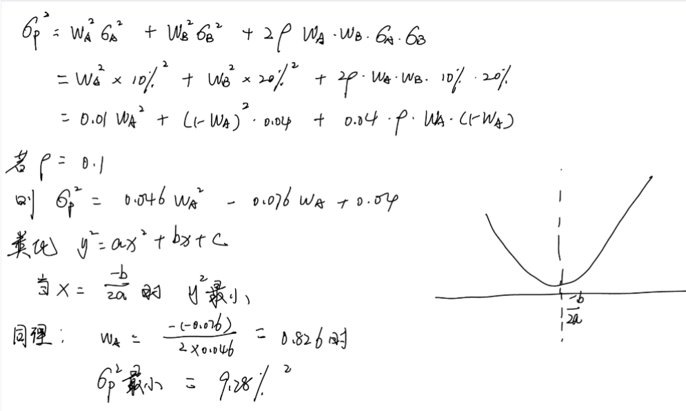
这个举反例就可以,按照答案给的条件,如图2
- 评论(0)
- 追问(0)
评论
0/1000
追答
0/1000
+上传图片



