153****01882022-06-30 22:36:58
1.图中老师说Accrued interest由1500,换成100元报价,请问为什么这么换呢,2.如果这样换,就按照1500当作AI,接下来ABCD的式子可以再写一下吗,还是不太理解,麻烦老师了
回答(1)
Adam2022-07-01 17:26:22
同学你好,
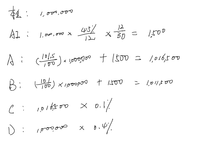
首先:这个是百元报价法。
比方说100块面值,对应的价格是99.5.
则1面值的价格是:(99.5/100).
而这里所规定的是1m面值,所以这1m面值实际的价格是:(99.5/100)*1m
如下图
- 评论(0)
- 追问(0)
评论
0/1000
追答
0/1000
+上传图片


