回答(1)
最佳
Adam2022-06-27 18:23:57
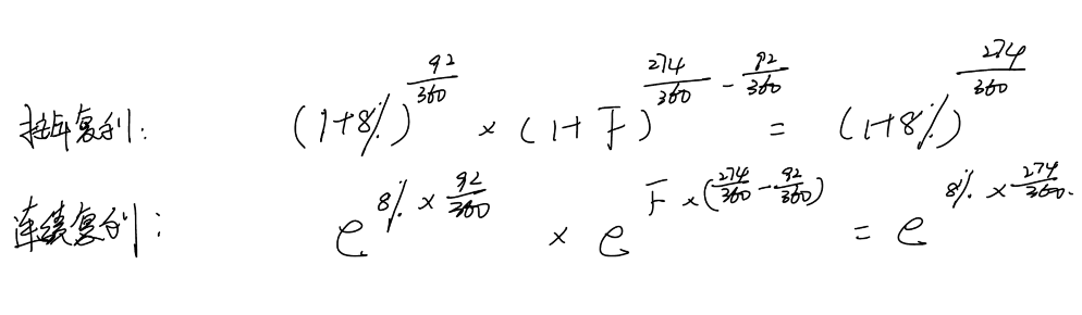
同学你好,它这里没有说明复利方式。
可以这么列
- 评论(0)
- 追问(0)
评论
0/1000
追答
0/1000
+上传图片

