回答(1)
最佳
Adam2022-06-23 09:48:20
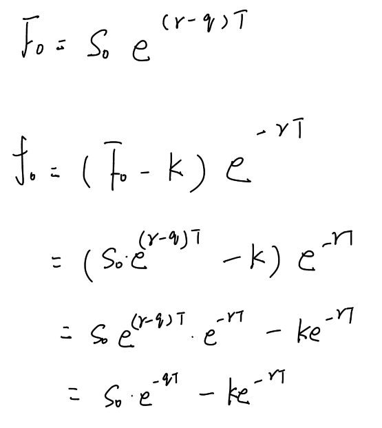
同学你好,是(r-q)
- 评论(0)
- 追问(0)
评论
0/1000
追答
0/1000
+上传图片

