蔡同学2022-06-19 17:38:29
上课讲解的例题有一些跳步:PV折现出的-1140.29是依靠什么公式如何计算出来的?计算DP那一行中指数2x0.25中0.25老师说因为三个月所以0.25,这是如何理解的?
回答(1)
最佳
Adam2022-06-20 10:22:40
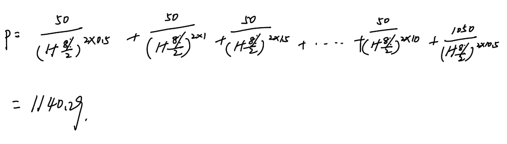
同学你好,如下图:是每一期现金流的贴现求和。
这里是:FV=PV*(1+R/m)^(m*T)
这里的T就是“你所要求的年化的时间”。
由于我要求的时间段是:4月1日到7月1日,所以是“三个月”。转换为年化的时间是:3/12=0.25年
- 评论(0)
- 追问(0)
评论
0/1000
追答
0/1000
+上传图片


