153****01882022-05-25 10:29:38
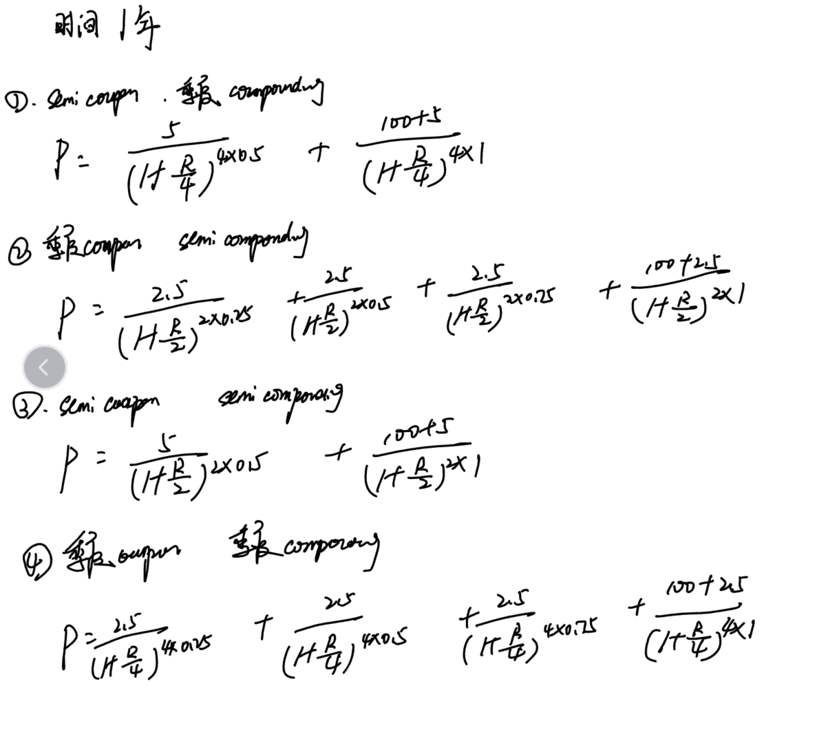
可以具体写一下以下的计算表达式吗?coupon是10%,facevalue100,yield算法请直接带入表达式告知1.semi的coupon,季度compounding;2.季度的coupon,semi的compounding;3.半年的coupon,半年的compounding。4.季度的coupon,季度的compounding
回答(1)
Adam2022-05-25 10:55:48
同学你好,如下图
- 评论(0)
- 追问(0)
评论
0/1000
追答
0/1000
+上传图片

