向同学2022-05-14 22:28:56
老师 您好 请问为什么0 0171就是阿尔法 ?并且SER应该是是σ( Rp-Rb)而不是σ(αp)叭
回答(1)
最佳
Adam2022-05-16 15:02:14
同学你好,
IR的表达有两种,
一种是你说的:分子[RP-RB],分母是:[RP-RB]的标准差。
另一种是:分子是回归方程的截距,aplha。分母是alpha的标准差。
这两种方式都能计算IR。具体我们在二级投资组合还会遇到的
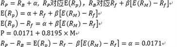
但实际上这题也是可以分析的,如下
- 评论(0)
- 追问(0)
评论
0/1000
追答
0/1000
+上传图片



