向同学2022-05-14 22:20:41
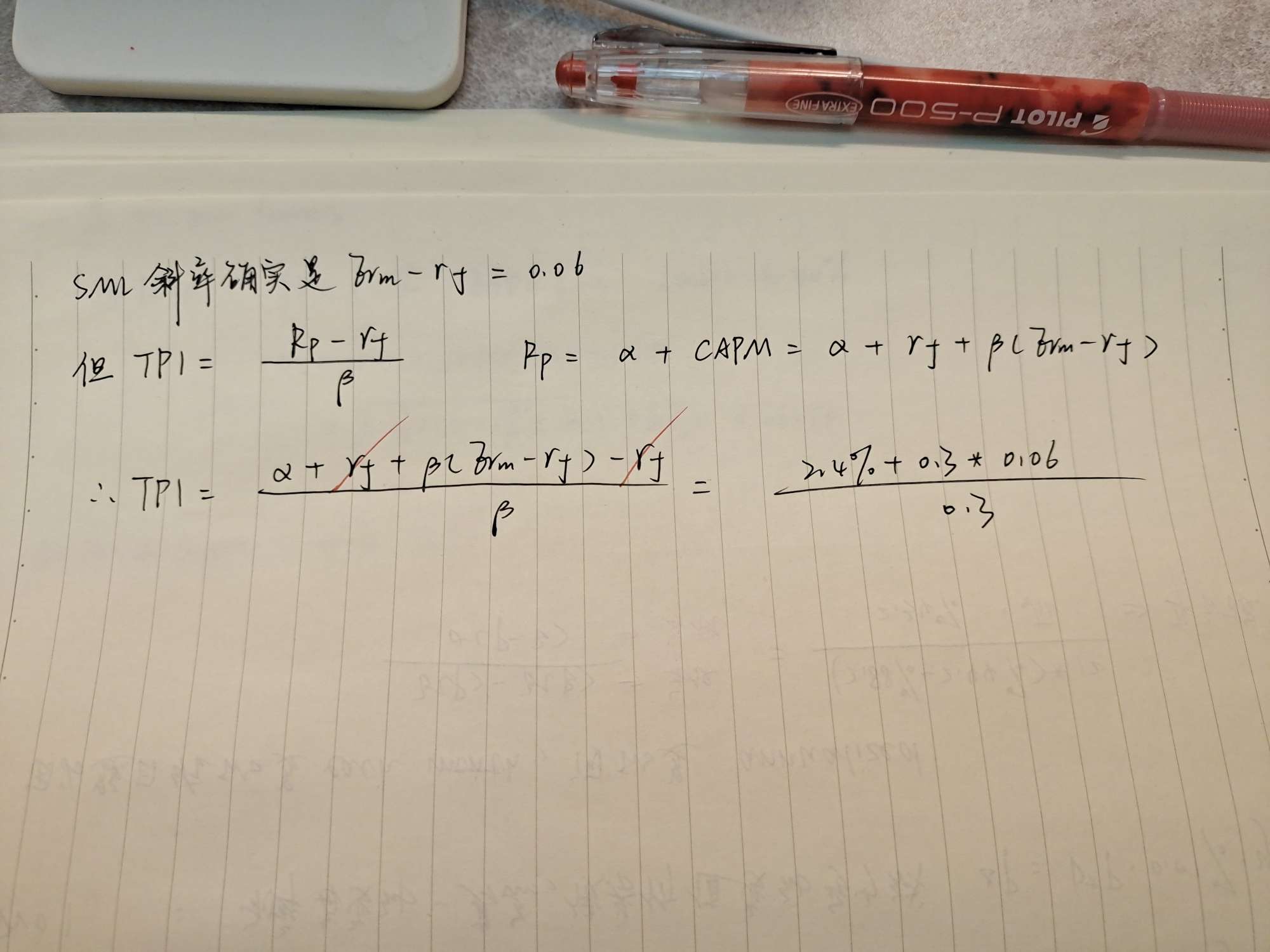
老师好,请问这道题里面SML的斜率不就是Erm-rf嘛 为什么不是6-2?
回答(2)
最佳
Diana2022-05-15 19:35:46
图片
- 评论(0)
- 追问(0)
Adam2022-05-16 14:57:27
同学你好
SML的斜率确实是rm-rf呀。直接给了:rm-rf=6%,为什么还要再减去2%呢?
这里的分析,如diana同学写的那样。
- 评论(0)
- 追问(0)
评论
0/1000
追答
0/1000
+上传图片


