向同学2022-05-14 16:49:40
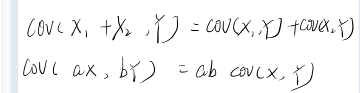
老师好,请问这里covariance为什么是这么求?有学过嘛?
回答(1)
最佳
Adam2022-05-16 14:07:11
同学你好。
这个是协方差的特性哈。
这个在数量分析这门课还会学到的哈
- 评论(0)
- 追问(0)
评论
0/1000
追答
0/1000
+上传图片


