回答(1)
最佳
Adam2022-05-09 15:30:34
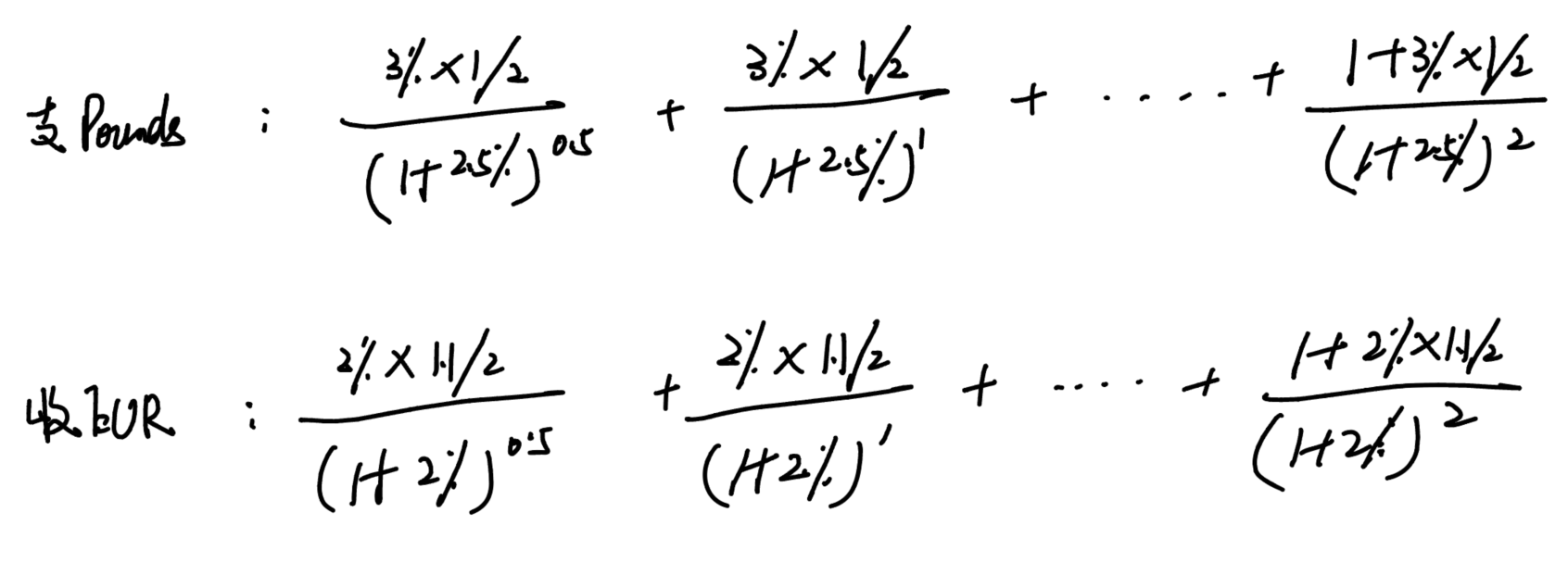
同学你好,你这里复利方式计算错了。
题目假定的是 compounded annually。按年复利
而你假定的是:半年复利,FV=PV(1+R/m)^(m*T),m=2说明半年复利
- 评论(1)
- 追问(0)
评论
0/1000
追答
0/1000
+上传图片


