610****10222022-05-07 11:43:28
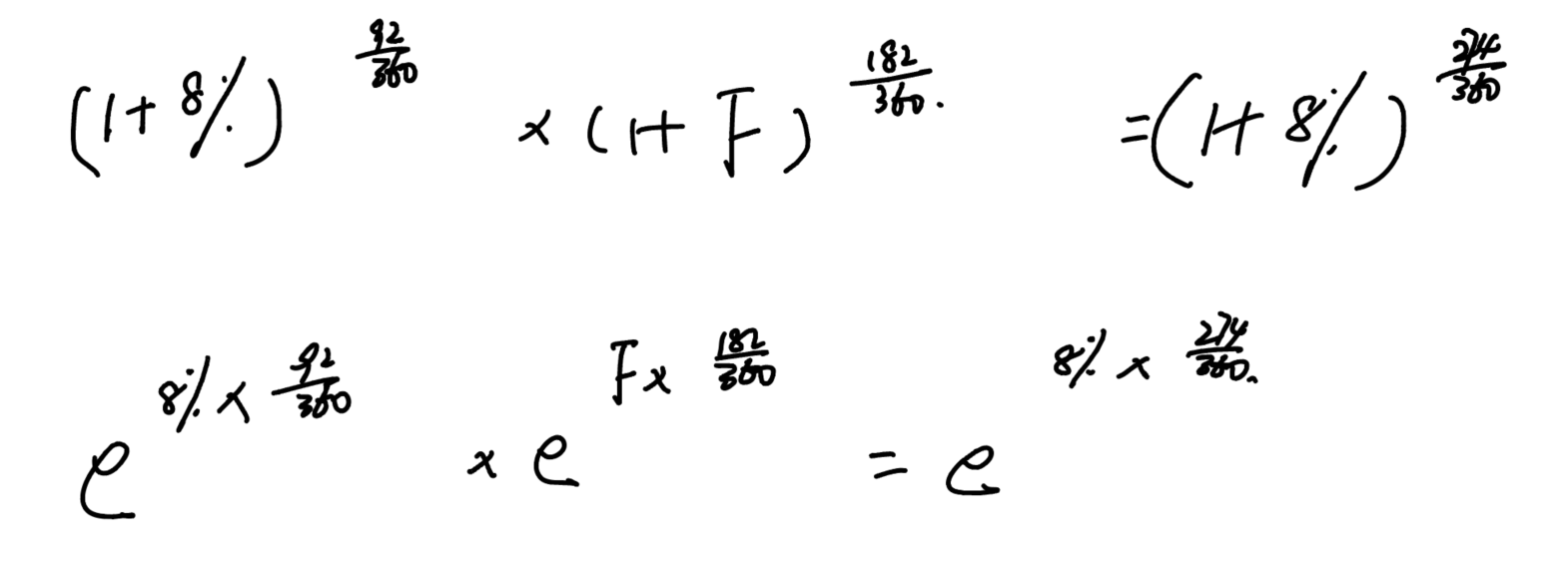
这个少于360天不应该是单利计算吗?因为没有给出派息周期,如果先存92天再存182天那么92天的利息利息不应该在182天中继续Reinvest吗?那么F必然小于8%?望回复。
回答(1)
Adam2022-05-09 10:37:30
同学你好,FRM里基本只有FRApayoff是单利计算。
剩下的基本都是复利计算。
这题没有给什么样的复利方式。。但无论是按年复利、连续复利。都是可以算出来的
- 评论(0)
- 追问(0)
评论
0/1000
追答
0/1000
+上传图片


