柴同学2022-04-29 21:34:24
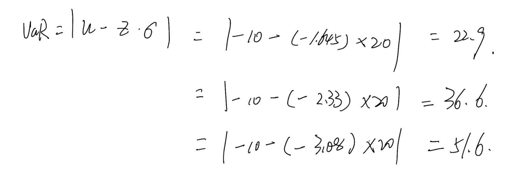
老师,再看原版书是看到这个题,请问答案是怎么算出来的呀,用delta normal算出来不对啊
回答(1)
Adam2022-05-03 14:15:01
同学你好,如下图,
他这题稍有点问题,这个置信水平的方向有问题
- 评论(0)
- 追问(0)
评论
0/1000
追答
0/1000
+上传图片


