任同学2022-04-27 18:02:09
老师答案说D选项价格应该为5.96,不知道这是怎么算出来的?题目给出的6.32我也不知道如何计算,不知道考试会不会考6.32计算方式,讲课老师并没有告诉这两个数字如何算出的。请老师给出详细计算过程,谢谢!
回答(1)
最佳
Adam2022-04-27 18:25:50
同学你好,这个是根据障碍期权的障碍公式算出来的,过程十分复杂。
考试也不要求掌握,感兴趣的话可以看一下。
但就这题而言,其实不知道5.96也是可以进行分析的。
- 评论(0)
- 追问(2)
- 追问
-
那么这道题题目给出的普通期权价格6.32是如何算出来的呢?请老师给出计算过程,谢谢!
- 追答
-
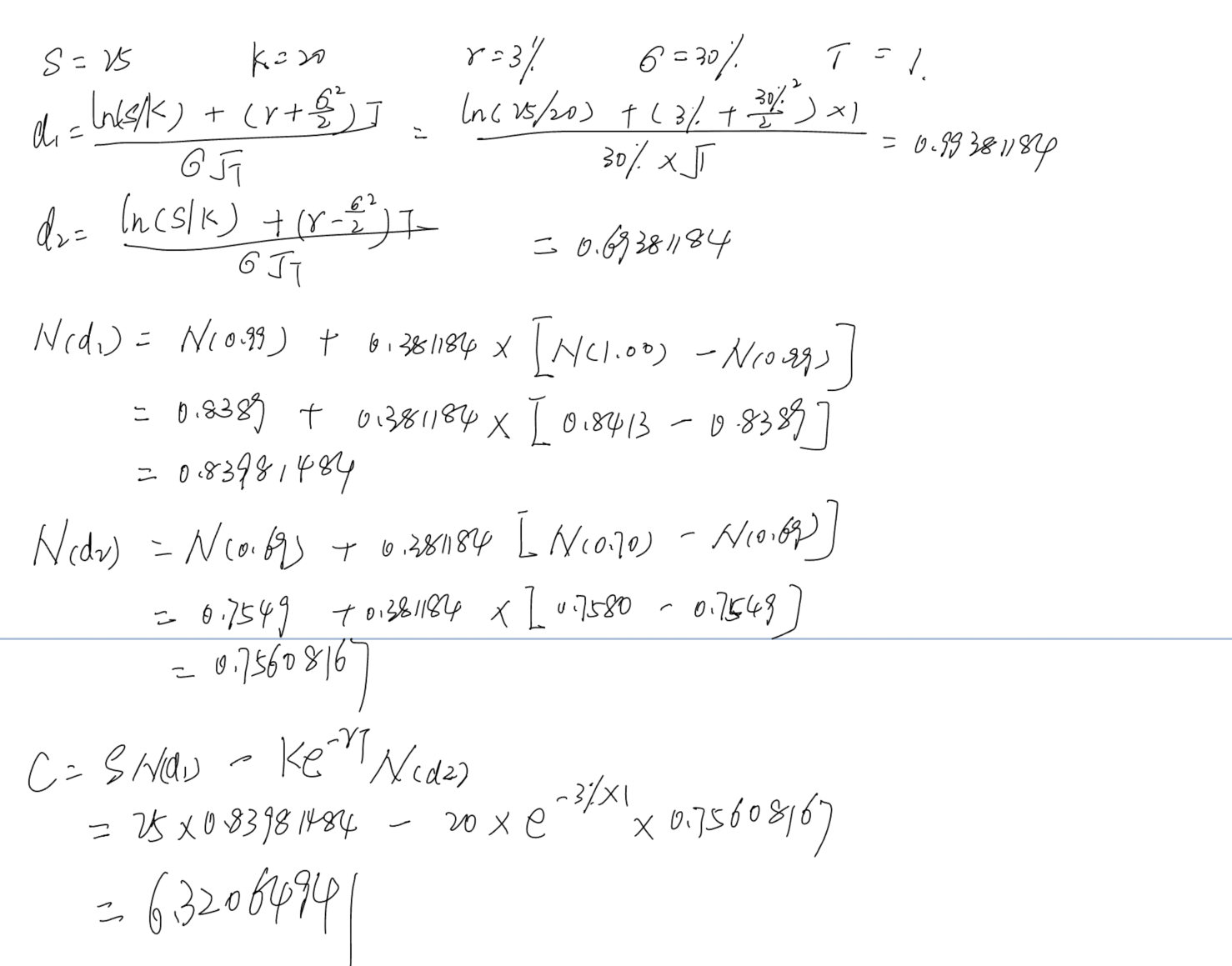
同学你好,BSM计算出来的
评论
0/1000
追答
0/1000
+上传图片




