Zzz.d2022-04-23 20:15:47
58分,为什么(1+inflationY/1+inflationX)约等于inflationY-inflationX
回答(2)
Adam2022-04-25 12:07:18
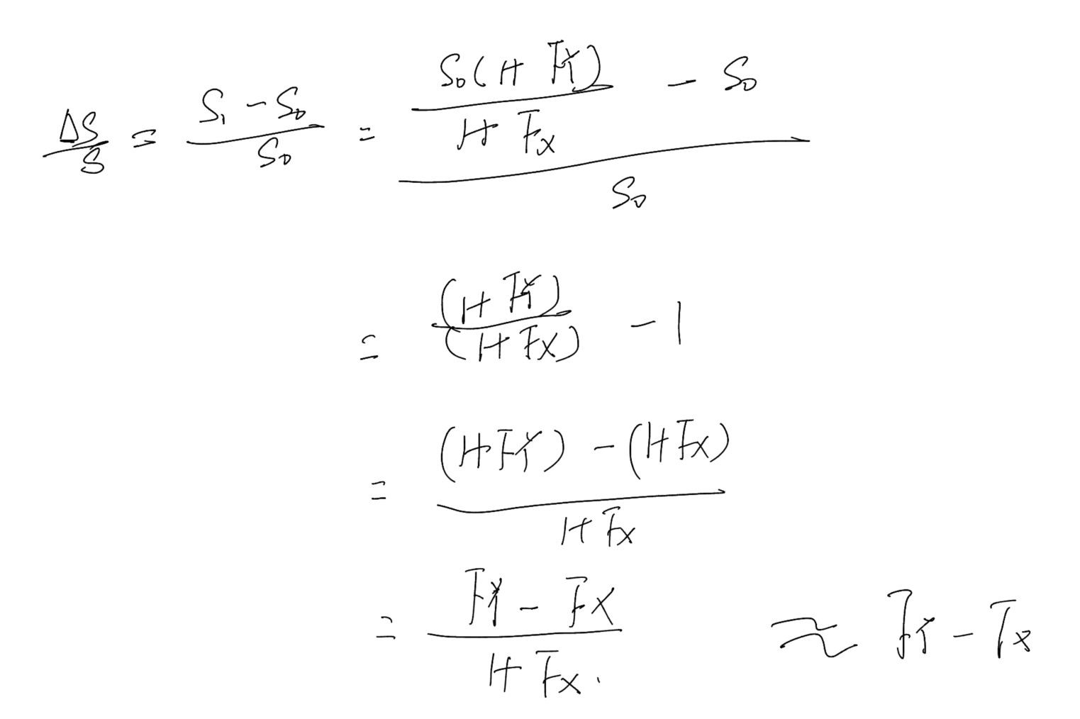
同学你好,你说的不对哈。
如下图
- 评论(0)
- 追问(0)
龙猫2022-07-08 07:54:40
这个推导结果是不是错了,应该是X减Y吧,求解
- 评论(0)
- 追问(0)
评论
0/1000
追答
0/1000
+上传图片


