133****62482022-04-21 21:17:49
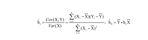
这个地方h怎么来的,没看懂,这块是数量分析里线性回归的哪个知识点?
回答(1)
Adam2022-04-22 15:51:04
同学你好,第一门课,capm里的beta
第二门课,一元线性回归,OLS计算斜率
- 评论(0)
- 追问(0)
评论
0/1000
追答
0/1000
+上传图片


