房同学2022-04-19 15:43:20
为什么视频里的题目 gross realized return 减去借款成本不等于net realized return呢 而课后题的gross realized return 减去借款成本等于net realized return 。所以 gross realized return减去借款成本等不等于net realized return?
回答(2)
吴珮瑶2022-04-19 15:49:59
你好同学,是等于的,要从有效年利率的角度去考虑
- 评论(0)
- 追问(4)
- 追问
-
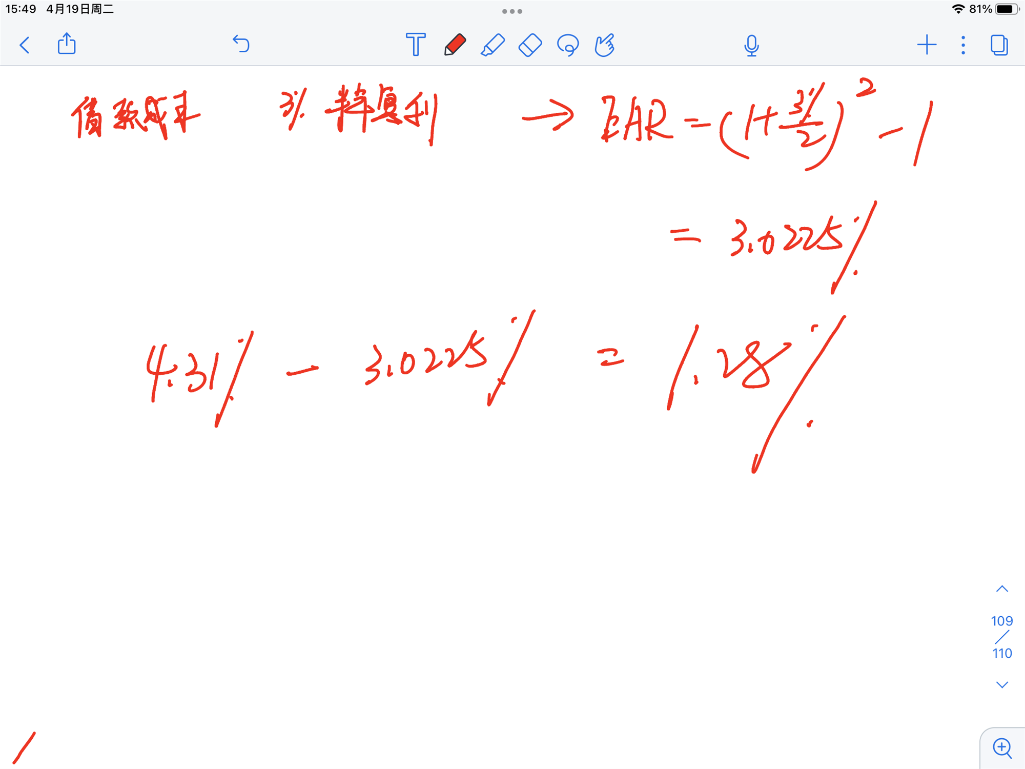
(1➕0.03/2)^2-1这一步啥意思呀 题目答案解析并没有这一步啊 就只是-借款成本/2
- 追问
-
问题二:两道题目的区别在哪里呢?
- 追答
-
你好同学,问题一:EAR是有效年利率的计算,因为是半年复利一次,所以➗2
- 追问
-
我不明白呀 你看一下课后练习题里的百分之6也是借款成本啊 为什么他就不用(1-0.06/2)^2-1啊 都是同样的求net realize return 一个有有效年利率 一个不是 两题的区别在哪里 。有效年利率又是什么 能讲一下他的概念嘛?
Adam2022-04-20 18:08:05
同学你好,课后练习题也是有效处理的哈,
由于投资期是半年。
所以:(1+0.6%/2)^(2*0.5)-1=0.6%/2
- 评论(0)
- 追问(0)
评论
0/1000
追答
0/1000
+上传图片





