回答(2)
最佳
Jenny2022-04-19 10:55:24
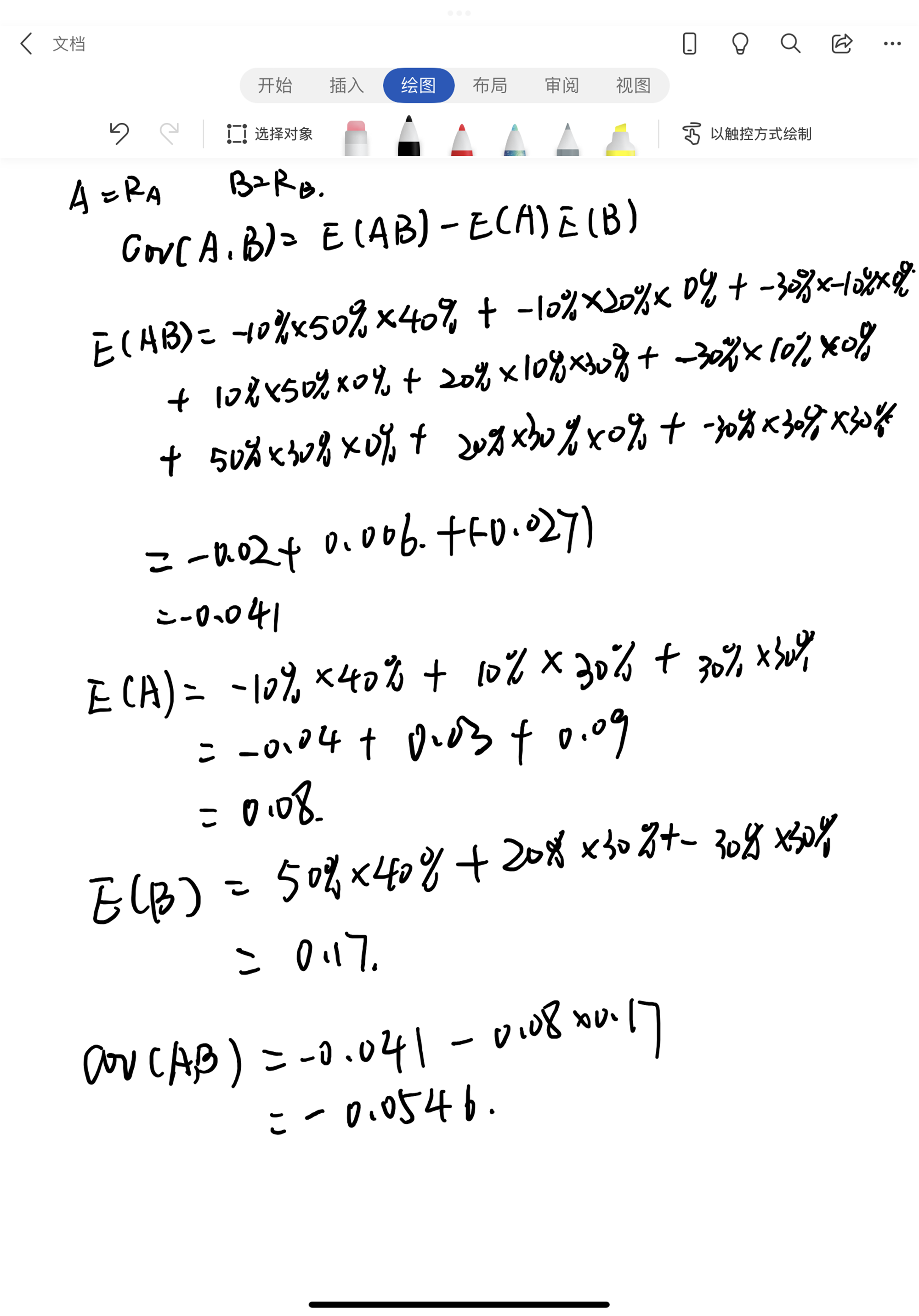
同学你好,可以算的,因为步骤比较长,具体见附图解析。有什么不清楚的欢迎随时提问。
感谢正在备考中乘风破浪的您来提问~如果您对回复满意可【点赞】鼓励您和Jenny更加优秀,您的声音是我们前进的动力,祝您生活与学习愉快!~
- 评论(0)
- 追问(0)
Carla2023-01-04 23:34:04
老师,E(AB)是不是算错了?E(AB)=-0.02+0.06-0.027=-0.013?麻烦老师看一下,我算不出来老师的结果
- 评论(0)
- 追问(0)
评论
0/1000
追答
0/1000
+上传图片

