刘同学2022-04-16 10:08:40
老师可以详细解释一下吗
回答(2)
最佳
Adam2022-04-18 14:29:47
同学你好,孙同学的做法是正确的哈。
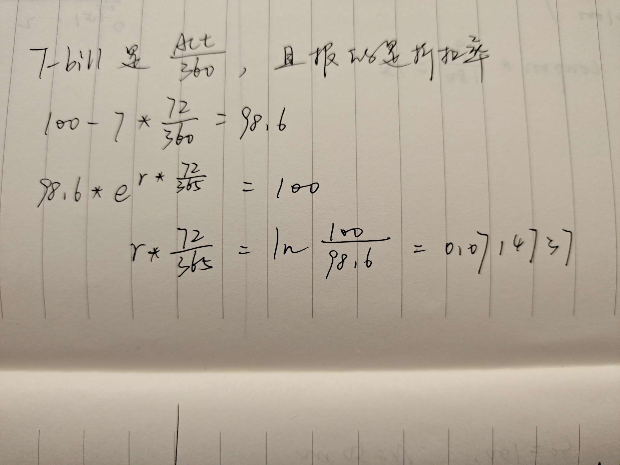
Tbills的报价是“折扣率”,报价7,就意味着他的折扣率是:7%。
短期国债的价值=100*(1-折扣率*天数/360).
由此我们可以算出债券价值。
这里的意思是:现在花98.6,到期拿100块。
问投资收益率是多少。
其实也就是:98.6*e^rt=100。
感谢正在备考中乘风破浪的您来提问~如果您对回复满意可【点赞】鼓励您和Adam更加优秀,您的声音是我们前进的动力,祝您生活与学习愉快!~
- 评论(0)
- 追问(0)
Diana2022-04-18 11:54:09
图片
- 评论(0)
- 追问(0)
评论
0/1000
追答
0/1000
+上传图片


