180****85662022-04-15 17:06:04
这道题目怎么理解?
回答(2)
Adam2022-04-15 17:25:10
同学你好,
这题是这么想的。
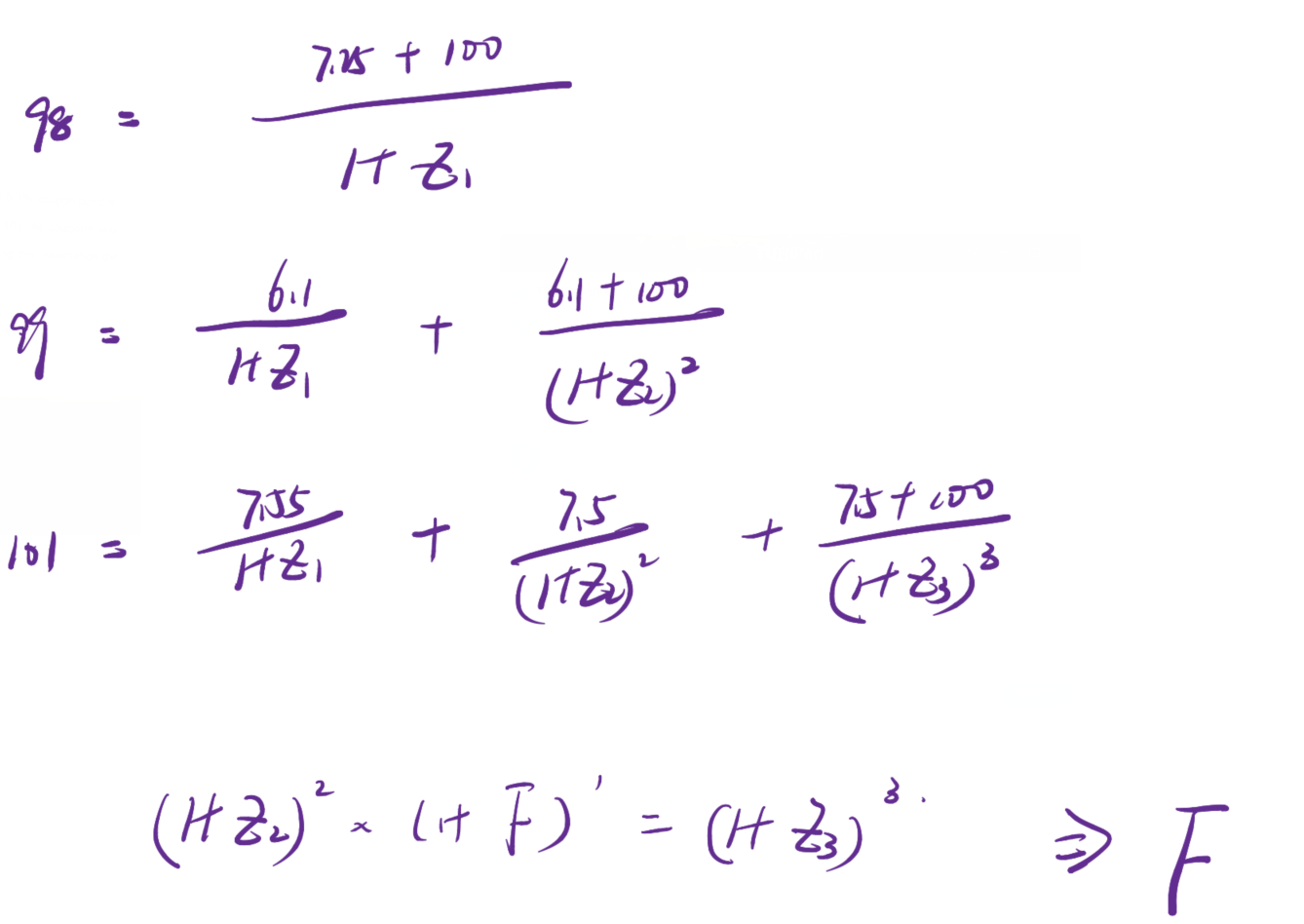
债券价格是未来每一期的现金流贴现求和而成【只不过贴现的时候,每一期的现金流以各自对应的即期利率贴现】。
如下图。
我们可以分别求出,1年期的spot rate,2年期的spot rate,3年期spot rate。
然后根据2年期的spot rate,3年期spot rate,我们就能求出2-3的远期利率。
【这里的1year forward rate 2years from now的意思是。站在现在来看,2年后开始为期一年的远期利率。也就是2-3年的远期利率】
- 评论(0)
- 追问(0)
Diana2022-04-18 17:22:18
图片
- 评论(0)
- 追问(0)
评论
0/1000
追答
0/1000
+上传图片



