Xiaott2022-04-12 22:14:33
754题 为什么不能直接用修正久期的差值除以利率的变化,非要用美元久期计算呢?
回答(1)
吴珮瑶2022-04-13 13:46:50
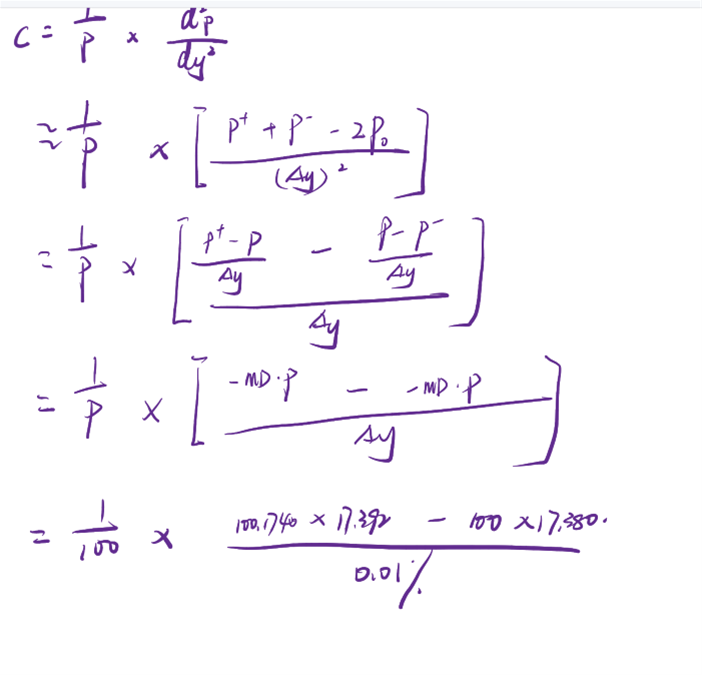
同学你好。考察的是凸性的定义。
凸性准确来说是:利率对债券价格求二阶导数,并除以P。【也就是对dollar duration,在求一次导数,然后在除以P】
我们在课上学的有效凸性,是对凸性的近似估计。
如下图
- 评论(0)
- 追问(0)
评论
0/1000
追答
0/1000
+上传图片



