夏同学2022-04-12 17:28:58
样本方差的期望不会推
回答(1)
Jenny2022-04-13 10:49:58
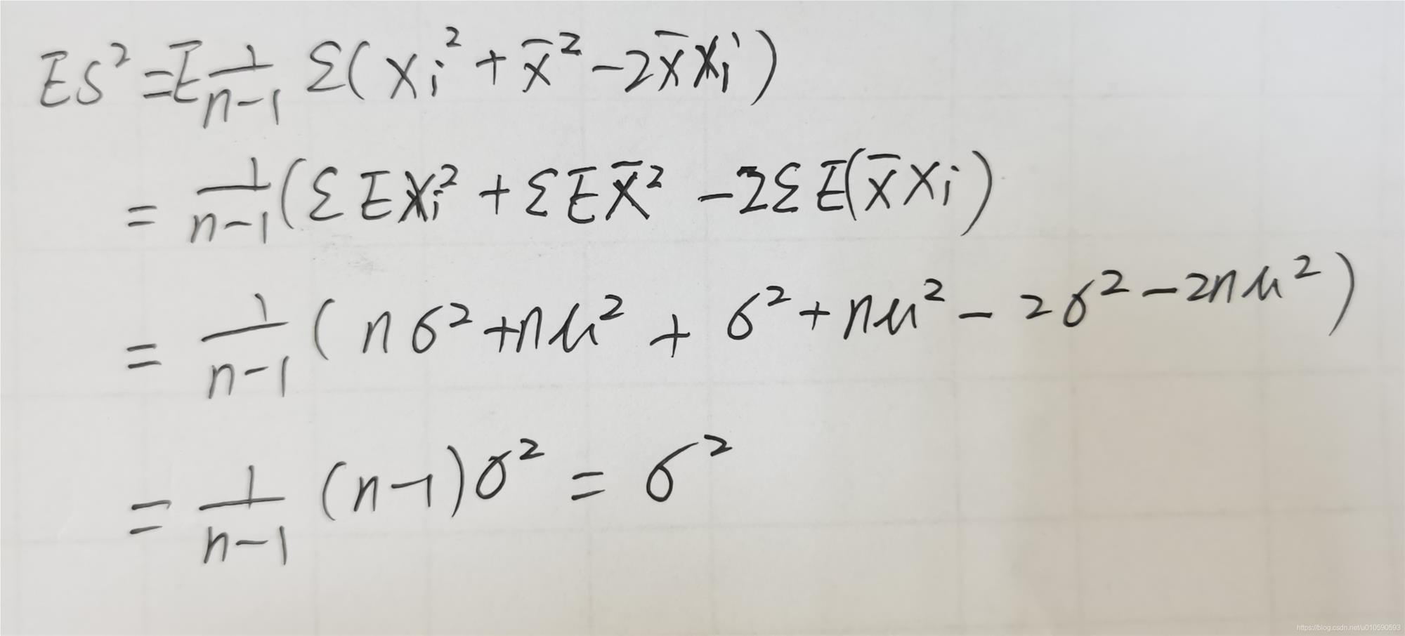
同学你好,你指的是无偏版本的样本方差期望吗?具体推导见附图,不是的话请具体说明,或者附上讲义截图。
感谢正在备考中乘风破浪的您来提问~如果您对回复满意可【点赞】鼓励您和Jenny更加优秀,您的声音是我们前进的动力,祝您生活与学习愉快!~
- 评论(0)
- 追问(0)
评论
0/1000
追答
0/1000
+上传图片

