回答(1)
最佳
Adam2022-04-12 15:07:23
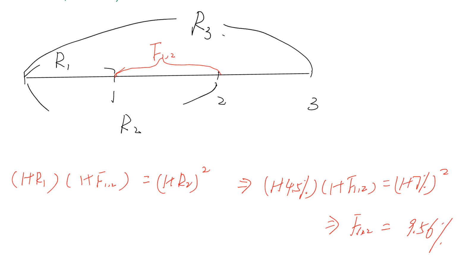
同学你好,其实很简单,就是远期利率的计算:
1-year forward rate one year from today = 9.56%:说的是一年后开始,为期1年的远期利率。即F1-2.,如图1
The 1-year forward rate two years from today:两年后开始,为期1年的,远期利率。即F2-3.如图2
● 2-year forward rate one year from today = 11.32%,:说的是一年后开始,为期2年的远期利率。即F1-3.如图3
- 评论(0)
- 追问(0)
评论
0/1000
追答
0/1000
+上传图片



