夏同学2022-04-12 09:30:32
为什么泊松分布中,次数越多,发生的概率越小?
回答(1)
Jenny2022-04-12 10:29:23
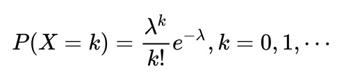
同学你好,附图是泊松分布的公式,k表示发生次数,随着k增大到一定数值时,通常分子的增幅小于分母的增幅。或者附图2、3是泊松分布的几个示图,横坐标是k,可以看到随着k增大到一定程度以后,纵坐标概率是降低的。
感谢正在备考中乘风破浪的您来提问~如果您对回复满意可【点赞】鼓励您和Jenny更加优秀,您的声音是我们前进的动力,祝您生活与学习愉快!~
- 评论(0)
- 追问(0)
评论
0/1000
追答
0/1000
+上传图片



