天堂之歌

听歌而来,送我踏青云〜

您现在的坐在位置:首页>智汇问答>FRM问答

188****48102022-04-11 19:25:34

老师,这道题答案解析说随着到期日的临近,delta会有所降低,但是从我画的图中,是需要分情况的,这是怎么回事呢?

查看试题

回答(1)

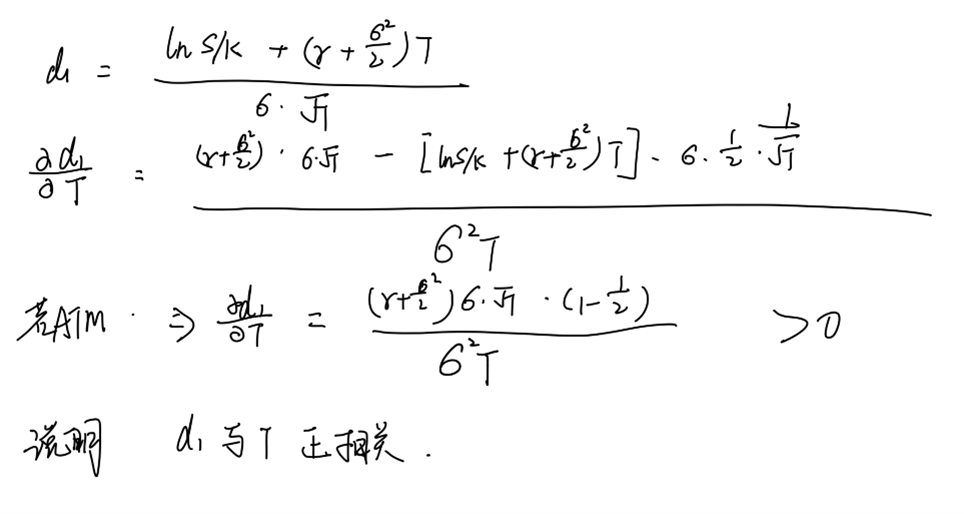
吴珮瑶2022-04-12 15:48:17

同学你好,计算需要多少去对冲delta

对于ATM期权,d1与T正相关。
所以越临近到期,d1就会减小。
d1减小了,N(d1)就小了

  • 评论(0
  • 追问(0
评论

精品推荐

评论

0/1000

追答

0/1000

+上传图片

    400-700-9596
    (每日9:00-21:00免长途费 )

    ©2026金程网校保留所有权利

    X

    注册金程网校

    验证码

    同意金程的《用户协议》
    直接登录:

    已有账号登录