Xiaott2022-04-11 08:02:53
736题 a为什么正确? 即期利率是x,但是比如公司债也是有风险溢价的 那么它的收益率就应该大于x啊
回答(1)
吴珮瑶2022-04-11 15:23:08
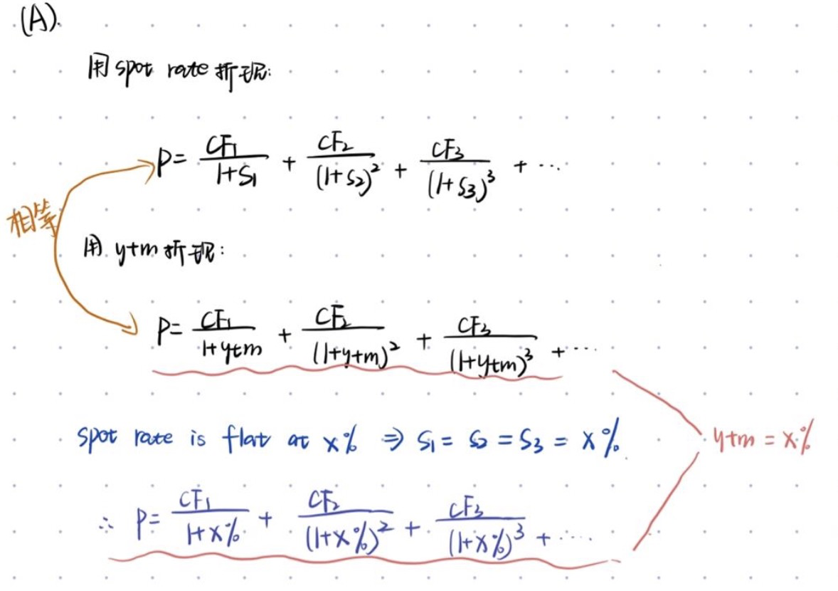
你好同学,如下图所示
- 评论(0)
- 追问(2)
- 追问
-
市场的即期利率基本上是无风险利率 公司债折现的时候要在即期利率上加上风险溢价部分的收益率 即1/(1+x+credit risk premium)才对啊
- 追答
-
你好同学,在FRM考试中,不可以这样考虑
评论
0/1000
追答
0/1000
+上传图片


